背景资料 某吹填工程,吹填区面积2.5km2、吹填容积2000万m3,分为A、B、C三个区域进行吹填,A区吹填面积0.9km2,吹填工程量750万m3...

作者: tihaiku 人气: - 评论: 0
问题 背景资料 某吹填工程,吹填区面积2.5km2、吹填容积2000万m3,分为A、B、C三个区域进行吹填,A区吹填面积0.9km2,吹填工程量750万m3,B区吹填面积0.75km2,吹填工程量550万m3,C区吹填面积0.85km2,吹填工程量700万m3,吹填高程平均允许偏差0.2m,采用大型绞吸挖泥船直接吹填的施工方式,取土区土质为可塑黏土、泥厚10m、可取工程量2500万m3、疏浚前标高-6.0m。经计算求得竣工验收前因吹填土荷载造成的吹填区原地基平均沉降量0.12m,可塑黏土的吹填流失率为6%。 问题 1.本工程应如何划分单位工程进行质量检验? 2.简述确定吹填区内排泥管线布设间距应考虑的主要因素。 3.计算最大吹填设计工程量。(列出主要计算过程,结果取整数) 4.简述绞吸挖泥船施工分层厚度确定的原则,本工程应如何分层?
选项
答案
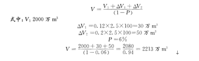
解析 1.本工程应划分为A区、B区、C区共三个单位工程。 【考点解析】 根据《水运工程质量检验标准》规定,陆域形成的吹填工程按合同或设计文件的区域划分单位工程。 2.确定吹填区内排泥管线布设间距应考虑的因素主要有设计要求、泥泵功率、吹填土的特性、吹填土的流程和坡度等因素。 3.最大吹填设计工程量V为: 【考点解析】 式中V——吹填设计工程量(m3); V1——吹填容积量(m3),即吹填区设计高程与原始地面之间的容积; △V1——原地基沉降量(m3),即竣工验收前因吹填土荷载造成吹填区原地基下沉而增加的工程量; △V2——超填工程量(m3),根据吹填工程的高程平均允许偏差值计算; P——吹填土进入吹填区后的流失率(%),根据土的粒径、泄水口的位置、高度及距排泥管口的距离、吹填面积、排泥管的布设、吹填高度及水力条件等具体施工条件和经验确定。 4.绞吸挖泥船施工当疏浚区泥层厚度很厚时应分层施工,分层厚度应根据土质和挖泥船绞刀的性能确定,宜取绞刀直径的0.5~2.5倍,对坚硬土取较低值,对松软土取较大值;分层的上层宜较厚,以保证挖泥船的效能;最后一层应较薄,以保证工程质量;当浚前泥面在水面以上,或水深小于挖泥船的吃水时,最上层开挖深度应满足挖泥船吃水和最小挖深的要求。当泥层过厚时应在高潮挖上层,低潮挖下层,以减少塌方。本工程疏浚土为可塑黏土,分层厚度宜取绞刀直径的0.8倍左右。

相关内容:背景,资料,某吹,工程,吹填区,面积,2.5km2,吹填,容积,2000万,三个,区域,0.9km2,工程量,750万

猜你喜欢

发表评论
更多 网友评论0 条评论)
暂无评论

访问排行

Copyright © 2012-2014 恰考网 Inc. 保留所有权利。 Powered by tikuer.com

页面耗时0.0372秒, 内存占用1.05 MB, Cache:redis,访问数据库19次