沿海某港口12#~16#港池疏浚工程,施工工期为1年,无备淤深度,疏浚土质为密实中粗砂和强风化岩,疏浚土要求全部吹填到码头后方吹填区,平均吹距2.5km,...

作者: tihaiku 人气: - 评论: 0
问题 沿海某港口12#~16#港池疏浚工程,施工工期为1年,无备淤深度,疏浚土质为密实中粗砂和强风化岩,疏浚土要求全部吹填到码头后方吹填区,平均吹距2.5km,吹填区面积2.5km2,围埝总长3.5km,围埝为临时工程,采用抛石结构,围埝顶宽3.5m,外坡设计坡比为1:2,内坡设计坡比为1:1.5,内侧铺设土工布倒滤层。 针对工程的特点和土质处理要求,本工程采用大型绞吸挖泥船直接吹填的施工方式,挖泥船排泥管径为800mm。为了掌握陆上排泥管线输送砂和风化岩的沿程阻力系数,项目部在陆地选择了长100m的平顺段进行了测试,测试结果和测试期间挖泥船的主要施工参数见下表。 问题: (1)分别计算本工程施工中两种疏浚土质的绞刀挖掘系数,并确定应选用的绞刀型式和刀齿型式。(计算结果取两位小数) (2)分别计算本工程施工中两种疏浚土质的沿程阻力系数。(计算结果取四位小数,g=9.8m/s2) (3)根据《水运工程质量检验标准》(JTS 257--2008)的规定,本工程的围埝工程如何划分分部、分项工程?本工程港池疏浚的验收标准是什么?
选项
答案
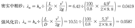
解析 (1)绞刀挖掘系数: 密实中粗砂:K=W÷(60×D× T× V)=1350÷(60×1.5× 1.3×14)=0.82 强风化岩:K=W÷(60×D×T×V)=310÷(60×1.2×0.6×10)=0.72 绞刀型式和刀齿型式: 密实中粗砂:直径较小的冠形可换齿绞刀和凿形齿。 强风化岩:锥形可换齿绞刀和尖齿。 (2)两种疏浚土质的沿程阻力系数: (3)围埝分部工程划分为:基底、埝身、倒滤层;分项工程划分为:基床清淤等、抛石、倒滤层。 港池疏浚验收标准:设计底边线以内水域严禁存在浅点、设计底边线以内水域的开挖范围应满足设计要求、开挖断面不应小于设计开挖断面、边坡的开挖范围满足设计要求、边坡的开挖坡度满足设计要求:

相关内容:港口,港池,工程,施工,工期,无备,深度,土质,中粗,风化,要求,吹填,码头,吹填区,吹距

猜你喜欢

发表评论
更多 网友评论0 条评论)
暂无评论

访问排行

Copyright © 2012-2014 恰考网 Inc. 保留所有权利。 Powered by tikuer.com

页面耗时0.0246秒, 内存占用1.03 MB, Cache:redis,访问数据库13次