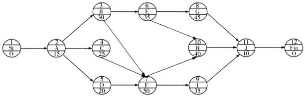
背景 某施工单位承接了某二级公路桥梁工程,施工单位按照合同工期要求编制了如下图所示的网络计划(时间单位:d),并经监理工程师批准后实施。 在实施过程中...

作者: tihaiku 人气: - 评论: 0
问题

背景

某施工单位承接了某二级公路桥梁工程,施工单位按照合同工期要求编制了如下图所示的网络计划(时间单位:d),并经监理工程师批准后实施。

在实施过程中,发生了如下事件。事件一:工作D(1号台基础)施工过程中,罕见特大暴雨天气使一台施工机械受损,机械维修花费2万元,同时导致工作D实际时间比计划时间拖延8天;事件二:施工单位租赁的施工机械未及时进场,使工作F(1号台身)实际时间比计划时间拖延8天,造成施工单位经济损失2000元/天;事件三:业主变更设计,未及时向施工单位提供图纸,使工作E(0号台身)实际时间比计划时间拖延15天,造成施工单位经济损失1600元/天。

问题:

1.根据网络图计算该工程总工期,并指出关键路线。

2.分别分析事件一、二、三对总工期的影响,并计算施工单位可获得的工期赔偿。

3.分别分析施工单位能否就事件一、二、三导致的损失向业主提出费用索赔,说明理由,并计算索赔金额。

4.将背景中的双代号网络改为单代号网络。

选项

1.总工期=15+30+50+40+10=145(天),关键线路①→②→③→④→⑤→⑦→⑧→⑨→⑩(或A→B→F→H→J)。

2.事件一,罕见特大暴雨属于不可抗力事件,费用不得索赔;理应获得工期赔偿,但工作D是非关键工作,拖延时间8天未超过其总时差,所以对总工期没有影响,不予索赔。事件二,对总工期有影响,会使总工期延长8天,因为工作F为关键工作。施工单位租赁的施工机械未及时进场,属于施工单位责任,费用和工期不予索赔。事件三,业主变更设计但未及时向施工单位提供图纸,属于业主责任,可获得工期和费用赔偿,因为E工作拖延时间超过其总时差5天,变为关键工作,工期变为150天,索赔5天。

3.事件一为不可抗力,不可获得费用赔偿(该项损失一般找保险公司,不得找业主索赔)。事件二中是施工单位的责任,不予赔偿。事件三为业主责任,可索赔金额费用:1600*15=24000(元)。所以,施工单位一共可获得24000元的费用赔偿。

4.

答案
解析

1.线路上所有工作的持续时间总和称为该线路的总持续时间。总持续时间最长的线路称为关键线路,关键线路的长度就是网络计划的总工期。从网络图中可以看出:总工期=15+30+50+40+10=145(天),关键线路①→②→③→④→⑤→⑦→⑧→⑨→⑩(或A→B→F→H→J)。

2.承包商提出工期索赔,通常是由于下述原因:(1)合同文件的内容出错或互相矛盾;(2)监理工程师在合理的时间内未曾发出承包商要求的图纸和指示;(3)有关放线的资料不准;(4)不利的自然条件;(5)在现场发现化石、钱币、有价值的物品或文物;(6)额外的样本与试验;(7)业主和监理工程师命令暂停工程;(8)业主未能按时提供现场;(9)业主违约;(10)业主风险;(11)不可抗力。

3.延期产生的费用索赔:以上提出的工期索赔中,凡属于客观原因造成的延期,属于业主也无法预见的情况,如特殊反常天气等,承包商可得到延长工期,但得不到费用补偿。凡纯属业主方面的原因造成延期,不仅应给承包商延长工期,还应给予费用补偿。

4.本问主要考查网络计划在公路工程进度计划中的应用。

相关内容:背景,公路桥梁,工程,合同,工期,要求,编制,下图,网络,计划,时间,单位,监理,工程师

猜你喜欢

发表评论
更多 网友评论0 条评论)
暂无评论

访问排行

Copyright © 2012-2014 恰考网 Inc. 保留所有权利。 Powered by tikuer.com

页面耗时0.0301秒, 内存占用1.04 MB, Cache:redis,访问数据库14次