某项目设计能力为12万公斤/年,单位产品价格为675元/公斤,单位产品变动成本为250元/公斤,年固定成本为1500万元。经计算:盈亏平衡产量和盈亏平衡单...

作者: tihaiku 人气: - 评论: 0
问题 某项目设计能力为12万公斤/年,单位产品价格为675元/公斤,单位产品变动成本为250元/公斤,年固定成本为1500万元。经计算:盈亏平衡产量和盈亏平衡单价分别为( )。
选项 A. 29432公斤,345元/公斤 B. 33485公斤,355元/公斤 C. 35294公斤,375元/公斤 D. 37374公斤,375元/公斤
答案 C
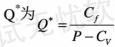
解析 若按设计能力进行生产和销售,则盈亏平衡销售价格P* 盈亏平衡产量 代入数据计算得盈亏平衡产量和盈亏平衡单价分别为35294公斤,375元/公斤。

相关内容:项目,设计,能力,单位,产品,价格,675元,变动,成本,250元,1500万元,盈亏,产量

猜你喜欢

发表评论
更多 网友评论0 条评论)
暂无评论

Copyright © 2012-2014 恰考网 Inc. 保留所有权利。 Powered by tikuer.com

页面耗时0.0626秒, 内存占用1.05 MB, Cache:redis,访问数据库18次