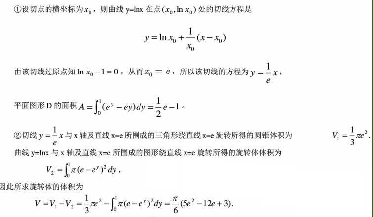
过坐标原点作曲线y=lnx的切线,该切线与曲线y=lnx及X轴围成平面图形D。D的而积A和D绕直线x=e旋转一周所得旋转体的体积V分别为()

作者: tihaiku 人气: - 评论: 0
问题 过坐标原点作曲线y=lnx的切线,该切线与曲线y=lnx及X轴围成平面图形D。D的而积A和D绕直线x=e旋转一周所得旋转体的体积V分别为()
选项
答案 B
解析 先求出切点坐标及切线方程,再用定积分求而积A;旋转体体积可用一大立体(圆锥)体积减去一小立体体积进行计算。

相关内容:坐标,原点,曲线,切线,平面,图形,直线,所得,旋转体,体积

猜你喜欢

发表评论
更多 网友评论0 条评论)
暂无评论

Copyright © 2012-2014 恰考网 Inc. 保留所有权利。 Powered by tikuer.com

页面耗时0.0427秒, 内存占用1.03 MB, Cache:redis,访问数据库13次