A. 33.35 B. 42.7 C. 66.7 D. 77.25

作者: tihaiku 人气: - 评论: 0
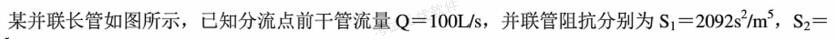
问题
选项 A. 33.35 B. 42.7 C. 66.7 D. 77.25
答案 C
解析

相关内容:

猜你喜欢

发表评论
更多 网友评论0 条评论)
暂无评论

Copyright © 2012-2014 恰考网 Inc. 保留所有权利。 Powered by tikuer.com

页面耗时0.0658秒, 内存占用1.04 MB, Cache:redis,访问数据库15次