某公司购买设备,有三家银行可提供贷款,甲银行年利率18%,半年计息一次;乙银行年利率17%,每月计息一次;丙银行年利率18.2%,每年计息一次。均按复利计...

作者: tihaiku 人气: - 评论: 0
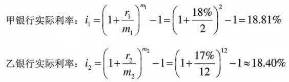
问题 某公司购买设备,有三家银行可提供贷款,甲银行年利率18%,半年计息一次;乙银行年利率17%,每月计息一次;丙银行年利率18.2%,每年计息一次。均按复利计息,若其他条件相同,该公司应()。
选项 A.向甲银行借款 B.向乙银行借款 C.向丙银行借款 D.向甲银行、丙银行借款都一样
答案 C
解析 根据名义利率与实际利率关系公式: 丙银行实际利率:i3=18.2%,丙银行利率最低,贷款利息最少。

相关内容:公司,设备,三家,银行,贷款,年利率,半年,复利

猜你喜欢

发表评论
更多 网友评论0 条评论)
暂无评论

Copyright © 2012-2014 恰考网 Inc. 保留所有权利。 Powered by tikuer.com

页面耗时0.0392秒, 内存占用1.05 MB, Cache:redis,访问数据库19次