若盛有某种理想气体的容器漏气,使气体的压强和分子数密度各减少一半,则气体的内能和气体分子的平均动能的变化为()。A.气体的内能和气体分子的平均动能均不变 ...

作者: tihaiku 人气: - 评论: 0
问题 若盛有某种理想气体的容器漏气,使气体的压强和分子数密度各减少一半,则气体的内能和气体分子的平均动能的变化为()。
选项 A.气体的内能和气体分子的平均动能均不变 B.气体的内能和气体分子的平均动能均减小 C.气体的内能不变,气体分子的平均动能减小 D.气体的内能减小,气体分子的平均动能不变
答案 D
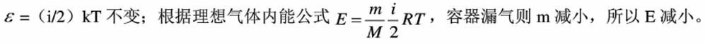
解析 拫据公式p=nkT,当气体的压强和分子数密度各减少一半时,温度T不变,则分子的平均动能

相关内容:若盛,理想,气体,容器,压强,分子,密度,各减,内能,动能

猜你喜欢

发表评论
更多 网友评论0 条评论)
暂无评论
错误啦!

错误信息

  • 消息: [程序异常] : MISCONF Redis is configured to save RDB snapshots, but it's currently unable to persist to disk. Commands that may modify the data set are disabled, because this instance is configured to report errors during writes if RDB snapshotting fails (stop-writes-on-bgsave-error option). Please check the Redis logs for details about the RDB error.
  • 文件: /twcms/kongphp/cache/cache_redis.class.php
  • 位置: 第 85 行
    <?php echo 'KongPHP, Road to Jane.'; ?>