作者: tihaiku 人气: - 评论: 0
问题
选项
答案 B
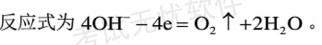
解析 当用石墨或其它惰性物质做电极,电解含氧酸盐的水溶液时,阳极通常是OH-离子放电,析出氧气,

相关内容:

猜你喜欢

发表评论
更多 网友评论0 条评论)
暂无评论

Copyright © 2012-2014 恰考网 Inc. 保留所有权利。 Powered by tikuer.com

页面耗时0.0379秒, 内存占用1.01 MB, Cache:redis,访问数据库19次