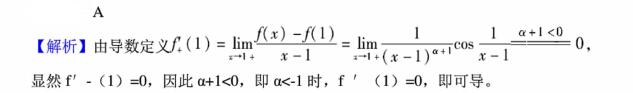
A. α<-1
B.-1≤α<0
C.0≤α<1
D.α≥1
相关内容:
- 在宽度小于3m的建筑物内走道顶棚上设置探测器时,应满足下列哪几项要求?
(A)感温探测器的安装间距不应超过10m
(B)感烟探测器的安装间距不应超...
- 对于交流变频传动异步机,额定电压为380V,额定频率为50HZ,采用通用电压型变频装置供电,当电机实际速度超过额定转速运行在弱磁状态时,下列变频器输出电压...
- 下列有关绕线异步电动机反接制动的描述,哪些项是正确的?( )
(A)反接制动时,电动机转子电压很高,有很大的制动电流,为限制反接电流, 在转子中须串...
- 下列哪几项电测量仪表精准度选择不正确?( )
(A)测量电力电容器回路的无功功率表精确度选为1.0级
(B)蓄电池回路电流表精确度选为1.5级...
- 验算高压断路器开断短路电流的能力时,应按下列哪几项规定?( )
(A)按系统10~15年规划容量计算短路电流
(B)按可能发生最大短路电流的所...
- 110kV变电所所址选择应考虑下列哪些条件?( )
(A)靠近生活中心
(B)节约用地
(C)周围环境宜无明显污秽,空气污秽时,站址宜设...
- 在10kV变电所所址选择条件中,下列哪些描述不符合规范的要求?( )
(A)装有油浸电力变电器的10kV车间内变电所,不应设在四级耐火等级的建筑物内,当...
- 35kV室外配电装置架构的荷载条件,应符合下列哪些要求? ( )
(A)确定架构设计应考虑断线
(B)连续架构可根据实际受力条件,分别按终端或中间...
- 与高压并联电容器装置配套的断路器选择,除应符合断路器有关标准外,尚应符合下列哪几条规定?( )
(A)合、分时触头弹跳不应大于限定值,开断时不应出现...
- 下列哪些电源可作为应急电源?( )
(A)有自动投入装置的独立于正常电源的专用的馈电线路
(B)与系统联络的燃气轮机发电机组
(C)UP...