()。A. N

作者: tihaiku 人气: - 评论: 0
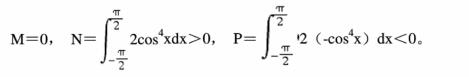
问题 ()。
选项 A. N
答案 D
解析 三个均为对称区间上的积分,自然想到奇偶函数在对称区间上的积分性质。 根据被积函数的奇偶性知, 因此有P

相关内容:

猜你喜欢

发表评论
更多 网友评论0 条评论)
暂无评论

Copyright © 2012-2014 恰考网 Inc. 保留所有权利。 Powered by tikuer.com

页面耗时0.0431秒, 内存占用1.05 MB, Cache:redis,访问数据库20次