作者: tihaiku 人气: - 评论: 0
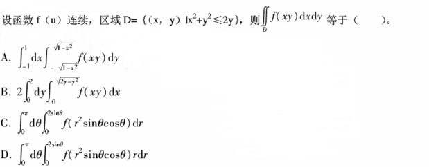
问题
选项
答案 D
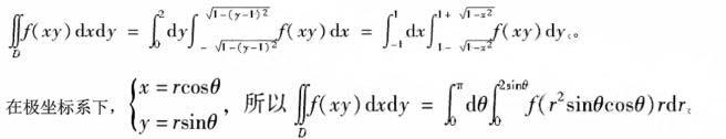
解析 先画出积分区域的示意图,再选择直角坐标系和极坐标系,并在两种坐标系下化为累次积分,即得正确选项。积分区域(见图1-3-1),在直角坐标系下,

相关内容:

猜你喜欢

发表评论
更多 网友评论0 条评论)
暂无评论

Copyright © 2012-2014 恰考网 Inc. 保留所有权利。 Powered by tikuer.com

页面耗时0.0401秒, 内存占用1.01 MB, Cache:redis,访问数据库19次