已知一定量的某种理想气体,在温度为T1和T2时的分子最概然速率分别为vP1和vp2,分子速率分布函数的最大值分别为f(vp1)和f(vp2)若T1>T2,...

作者: tihaiku 人气: - 评论: 0
问题 已知一定量的某种理想气体,在温度为T1和T2时的分子最概然速率分别为vP1和vp2,分子速率分布函数的最大值分别为f(vp1)和f(vp2)若T1>T2,则()。
选项
答案 B
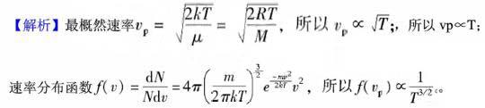
解析

相关内容:一定量,理想,气体,温度,分子,最概,速率,函数,最大值

猜你喜欢

发表评论
更多 网友评论0 条评论)
暂无评论

Copyright © 2012-2014 恰考网 Inc. 保留所有权利。 Powered by tikuer.com

页面耗时0.0415秒, 内存占用1.04 MB, Cache:redis,访问数据库20次