一容器被一铜片分成两部分,一边是80℃的水,另一边是20℃的水,经过一段时间后,从热的一边向冷的一边传递了1000卡的热量,设水足够多,增减1000卡的热...

作者: tihaiku 人气: - 评论: 0
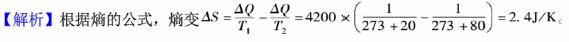
问题 一容器被一铜片分成两部分,一边是80℃的水,另一边是20℃的水,经过一段时间后,从热的一边向冷的一边传递了1000卡的热量,设水足够多,增减1000卡的热量温度没有明显的变化,则在这个过程中熵变为()J/K。
选项 A. 2.4 B. 14.5 C. 25 D. 104.75
答案 A
解析

相关内容:容器,铜片,的水,热量,水足

猜你喜欢

发表评论
更多 网友评论0 条评论)
暂无评论

Copyright © 2012-2014 恰考网 Inc. 保留所有权利。 Powered by tikuer.com

页面耗时0.0778秒, 内存占用1.04 MB, Cache:redis,访问数据库14次