向Pb2+浓度为0.15mol·L-1及Ag+浓度为0.20mol·L-1的溶液中,缓慢的加入固体Na2SO4(设体积不变),Ksp[PbSO4]=1.0...

作者: tihaiku 人气: - 评论: 0
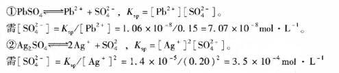
问题 向Pb2+浓度为0.15mol·L-1及Ag+浓度为0.20mol·L-1的溶液中,缓慢的加入固体Na2SO4(设体积不变),Ksp[PbSO4]=1.06×10-8,Ksp[Ag2SO4]=1.4×10-5,则溶液中()。
选项 A.先沉淀的是PbSO4 B. 先沉淀的是Ag2SO4 C. 二者同时沉淀 D.溶液中无沉淀
答案 A
解析 加入后分别生成PbSO4和Ag2SO4沉淀,

相关内容:浓度,0.15mol,0.20mol,溶液,固体,Na2SO4,体积,1.0...

猜你喜欢

发表评论
更多 网友评论0 条评论)
暂无评论

Copyright © 2012-2014 恰考网 Inc. 保留所有权利。 Powered by tikuer.com

页面耗时0.0423秒, 内存占用1.03 MB, Cache:redis,访问数据库17次