均质梯形薄板ABCE,在A处用细绳悬挂,如图4-1-25所示。今欲使AB边保持水平,则需在正方形ABCD的中心挖去一个半径为()的圆形薄板。

作者: tihaiku 人气: - 评论: 0
问题 均质梯形薄板ABCE,在A处用细绳悬挂,如图4-1-25所示。今欲使AB边保持水平,则需在正方形ABCD的中心挖去一个半径为()的圆形薄板。
选项
答案 D
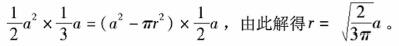
解析 要使AB边保持水平,则应在挖去圆形薄板后,梯形板的形心在AD上,于是

相关内容:梯形,薄板,处用,如图,4-1-25所示,今欲,水平,正方形,中心,半径,圆形

猜你喜欢

发表评论
更多 网友评论0 条评论)
暂无评论

Copyright © 2012-2014 恰考网 Inc. 保留所有权利。 Powered by tikuer.com

页面耗时0.0478秒, 内存占用1.04 MB, Cache:redis,访问数据库19次