A.直线 B. 圆 C.正弦曲线 D.椭圆

作者: tihaiku 人气: - 评论: 0
问题
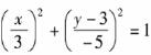
选项 A.直线 B. 圆 C.正弦曲线 D.椭圆
答案 D
解析 消去参数t,点的运动参数方程可化为,故点的运动轨迹为椭圆。

相关内容:直线,正弦,曲线,椭圆

猜你喜欢

发表评论
更多 网友评论0 条评论)
暂无评论

Copyright © 2012-2014 恰考网 Inc. 保留所有权利。 Powered by tikuer.com

页面耗时0.0658秒, 内存占用1.03 MB, Cache:redis,访问数据库15次