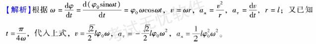
单摆由长1的摆杆与摆锤A组成,其运动规律φ=φ0sinωt,锤A在t=π/4ω秒的速度、切向加速度与法向加速度分别为()。

作者: tihaiku 人气: - 评论: 0
问题 单摆由长1的摆杆与摆锤A组成,其运动规律φ=φ0sinωt,锤A在t=π/4ω秒的速度、切向加速度与法向加速度分别为()。
选项
答案 C
解析

相关内容:单摆,摆杆,摆锤,运动,规律,速度,加速度

猜你喜欢

发表评论
更多 网友评论0 条评论)
暂无评论
错误啦!

错误信息

  • 消息: [程序异常] : MISCONF Redis is configured to save RDB snapshots, but it's currently unable to persist to disk. Commands that may modify the data set are disabled, because this instance is configured to report errors during writes if RDB snapshotting fails (stop-writes-on-bgsave-error option). Please check the Redis logs for details about the RDB error.
  • 文件: /twcms/kongphp/cache/cache_redis.class.php
  • 位置: 第 85 行
    <?php echo 'KongPHP, Road to Jane.'; ?>