如图4-3-26所示,忽略质量的细杆OC=1,其端部固结匀质圆盘。杆上点C为圆盘圆心,盘质量为m,半径为r,系统以角速度ω绕轴O转动。系统的动能是()。

作者: tihaiku 人气: - 评论: 0
问题 如图4-3-26所示,忽略质量的细杆OC=1,其端部固结匀质圆盘。杆上点C为圆盘圆心,盘质量为m,半径为r,系统以角速度ω绕轴O转动。系统的动能是()。
选项
答案 D
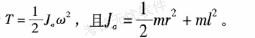
解析 系统中研究对象是细杆和圆盘,又忽略细杆质量,故只需研究圆盘,圆盘整体绕轴O作定轴转动,其动能为

相关内容:如图,4-3-26所示,质量,细杆,其端部,匀质,圆盘,圆心,半径,系统,角速度,绕轴,动能

猜你喜欢

发表评论
更多 网友评论0 条评论)
暂无评论
错误啦!

错误信息

  • 消息: [程序异常] : MISCONF Redis is configured to save RDB snapshots, but it's currently unable to persist to disk. Commands that may modify the data set are disabled, because this instance is configured to report errors during writes if RDB snapshotting fails (stop-writes-on-bgsave-error option). Please check the Redis logs for details about the RDB error.
  • 文件: /twcms/kongphp/cache/cache_redis.class.php
  • 位置: 第 85 行
    <?php echo 'KongPHP, Road to Jane.'; ?>