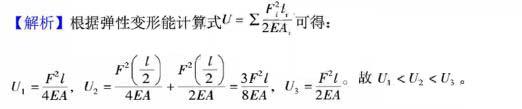
同种材料制成的三根轴向受拉杆件的受力与尺寸如图5-1-17所示,已知荷载作用下三杆只发生弹性变形,则三根拉杆的弹性变形能之间的大小关系为()。 A. U...

作者: tihaiku 人气: - 评论: 0
问题 同种材料制成的三根轴向受拉杆件的受力与尺寸如图5-1-17所示,已知荷载作用下三杆只发生弹性变形,则三根拉杆的弹性变形能之间的大小关系为()。
选项 A. U1<U2<U3 B. U2>U1>U3 C.U132 D.U1>U2>U3
答案 A
解析

相关内容:材料,三根,拉杆,受力,尺寸,如图,5-1-17所示,荷载,作用,三杆只,弹性,能之,大小,关系

猜你喜欢

发表评论
更多 网友评论0 条评论)
暂无评论

Copyright © 2012-2014 恰考网 Inc. 保留所有权利。 Powered by tikuer.com

页面耗时0.1121秒, 内存占用1.05 MB, Cache:redis,访问数据库19次