如图5-3-5所示,圆截面受扭杆件的直径为d,在B截面与C截面处分别作用大小为3T与T的外力偶矩,若T与3T的方向相反,则杆内的最大剪应力为()。

作者: tihaiku 人气: - 评论: 0
问题 如图5-3-5所示,圆截面受扭杆件的直径为d,在B截面与C截面处分别作用大小为3T与T的外力偶矩,若T与3T的方向相反,则杆内的最大剪应力为()。
选项
答案 B
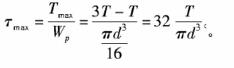
解析 由截面法可知,图5-3-5所示圆杆内的最大扭矩出现在AB段,则最大剪应力也应出现在AB段内,其大小为:

相关内容:如图,5-3-5所示,截面,受扭,杆件,直径,作用,大小,力偶,方向,杆内

猜你喜欢

发表评论
更多 网友评论0 条评论)
暂无评论

Copyright © 2012-2014 恰考网 Inc. 保留所有权利。 Powered by tikuer.com

页面耗时0.0565秒, 内存占用1.04 MB, Cache:redis,访问数据库16次