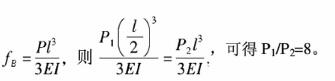
已知图5-5-35(a)、(b)所示二梁的抗弯截面刚度EI相同,若二者自由端的挠度相等,则P1/P2等于()。 A. 2 B. 4 C. 8 D. 16

作者: tihaiku 人气: - 评论: 0
问题 已知图5-5-35(a)、(b)所示二梁的抗弯截面刚度EI相同,若二者自由端的挠度相等,则P1/P2等于()。
选项 A. 2 B. 4 C. 8 D. 16
答案 C
解析 根据悬臂梁的挠度公式

相关内容:5-5-35,二梁,抗弯,截面,刚度,挠度

猜你喜欢

发表评论
更多 网友评论0 条评论)
暂无评论

Copyright © 2012-2014 恰考网 Inc. 保留所有权利。 Powered by tikuer.com

页面耗时0.0561秒, 内存占用1.05 MB, Cache:redis,访问数据库18次