圆截面细长压杆的材料和杆端约束保持不变,若将其直径减小一半,则压杆的临界压力为原压杆的()。A. 1/2 B. 1/4 C. 1/8 D.1/16

作者: tihaiku 人气: - 评论: 0
问题 圆截面细长压杆的材料和杆端约束保持不变,若将其直径减小一半,则压杆的临界压力为原压杆的()。
选项 A. 1/2 B. 1/4 C. 1/8 D.1/16
答案 D
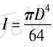
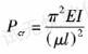
解析 细长压杆临界力Pcr的计算公式为:只改变截面半径,仅影响截面惯性矩I,对于圆截面,即知临界压力与直径的4次方成正比例。

相关内容:截面,压杆,材料,杆端,约束,直径,压力,原压

猜你喜欢

发表评论
更多 网友评论0 条评论)
暂无评论

Copyright © 2012-2014 恰考网 Inc. 保留所有权利。 Powered by tikuer.com

页面耗时0.0363秒, 内存占用1.04 MB, Cache:redis,访问数据库16次