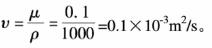
已知某流体的密度ρ=1000kg/m3,动力粘度μ=0.1Pa·s,则该流体的运动粘度γ=()m2/s。A. 0.1×10-3 B. 0.1×103 ...

作者: tihaiku 人气: - 评论: 0
问题 已知某流体的密度ρ=1000kg/m3,动力粘度μ=0.1Pa·s,则该流体的运动粘度γ=()m2/s。
选项 A. 0.1×10-3 B. 0.1×103 C. 0.15×10-3 D. 0.15×103
答案 A
解析 该流体的运动粘度

相关内容:流体,密度,1000kg,动力,粘度,运动

猜你喜欢

发表评论
更多 网友评论0 条评论)
暂无评论

Copyright © 2012-2014 恰考网 Inc. 保留所有权利。 Powered by tikuer.com

页面耗时0.0475秒, 内存占用1.04 MB, Cache:redis,访问数据库19次