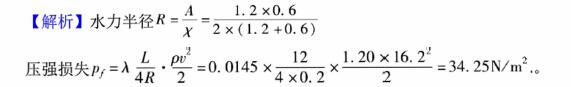
如图6-3-1所示一矩形断面通风管道,断面尺寸为1.2m×0.6m,空气密度ρ=1.20kg/m3,流速v=16.2m/s,沿程阻力系数λ=0.0145,...

作者: tihaiku 人气: - 评论: 0
问题 如图6-3-1所示一矩形断面通风管道,断面尺寸为1.2m×0.6m,空气密度ρ=1.20kg/m3,流速v=16.2m/s,沿程阻力系数λ=0.0145,流程长度L=12m的沿程压强损失为()N/m2。
选项 A. 28.14 B. 31 C. 34.25 D. 45.51
答案 C
解析

相关内容:如图,矩形,断面,通风,管道,尺寸,空气,密度,1.20kg,流速,沿程,阻力,系数,0.0145

猜你喜欢

发表评论
更多 网友评论0 条评论)
暂无评论
错误啦!

错误信息

  • 消息: [程序异常] : MISCONF Redis is configured to save RDB snapshots, but it's currently unable to persist to disk. Commands that may modify the data set are disabled, because this instance is configured to report errors during writes if RDB snapshotting fails (stop-writes-on-bgsave-error option). Please check the Redis logs for details about the RDB error.
  • 文件: /twcms/kongphp/cache/cache_redis.class.php
  • 位置: 第 85 行
    <?php echo 'KongPHP, Road to Jane.'; ?>