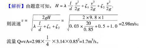
如图6-4-4所示,直径为d的圆断而有压涵管,长度l=20m,上、下游水位差H=1m,涵管管径d=0.85m,沿程损失系数λ=0.03,进、出口的局部损失...

作者: tihaiku 人气: - 评论: 0
问题 如图6-4-4所示,直径为d的圆断而有压涵管,长度l=20m,上、下游水位差H=1m,涵管管径d=0.85m,沿程损失系数λ=0.03,进、出口的局部损失系数ζ1=0.5、ζ2=1.0。通过的流量为()m/s。
选项 A. 1.5 B. 1.7 C 1.9 D. 2.1
答案 B
解析

相关内容:如图,6-4-4所示,直径,圆断,涵管,长度,管径,沿程,损失,系数,出口,局部

猜你喜欢

发表评论
更多 网友评论0 条评论)
暂无评论

Copyright © 2012-2014 恰考网 Inc. 保留所有权利。 Powered by tikuer.com

页面耗时0.0618秒, 内存占用1.04 MB, Cache:redis,访问数据库17次