用完全潜水井进行抽水实验计算渗透系数K,两位工程师各按一种经验公式选取影响半径R,分别为R1=3000r0,R2=2000r(),其他条件相同,则计算结果...

作者: tihaiku 人气: - 评论: 0
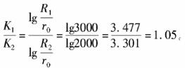
问题 用完全潜水井进行抽水实验计算渗透系数K,两位工程师各按一种经验公式选取影响半径R,分别为R1=3000r0,R2=2000r(),其他条件相同,则计算结果K1/K2为()。
选项 A. 1.50 B.0.95 C.0.67 D. 1.05
答案 D
解析 按达西定律推导,完全潜水井有涌水量公式 涌水量Q、地下水天然水面H、井中水深h均相同,

相关内容:水井,抽水,实验,系数,工程师,各按,经验,公式,影响,半径,3000r0,条件,结果

猜你喜欢

发表评论
更多 网友评论0 条评论)
暂无评论

Copyright © 2012-2014 恰考网 Inc. 保留所有权利。 Powered by tikuer.com

页面耗时0.0381秒, 内存占用1.05 MB, Cache:redis,访问数据库20次