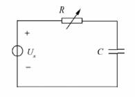
如图7-3-4所示电路在达到稳定状态后,R增加,则该电路()。 A.因为换路,要产生过渡过程 B.因为有储能元件,又发生换路,因而产生过渡过程 C....

作者: tihaiku 人气: - 评论: 0
问题 如图7-3-4所示电路在达到稳定状态后,R增加,则该电路()。
选项 A.因为换路,要产生过渡过程 B.因为有储能元件,又发生换路,因而产生过渡过程 C.因为C的储能值不变,不发生过渡过程 D.能否发生过渡过程,和电容C的大小有关
答案 C
解析 产生暂态过程必须具备的条件包括:①电路含有储能元件(电感或电容);②电路发生换路;③换路前后两个稳定状态储能元件的能量不同(电感是电流大小不同,电容是电压大小不同)。稳定状态下,电容相当于断路,依题意,R增加后电容两端电压仍不变,则电容的储能值不变,不发生过渡过程。

相关内容:如图,电路,状态,换路,过程,储能,元件

猜你喜欢

发表评论
更多 网友评论0 条评论)
暂无评论

Copyright © 2012-2014 恰考网 Inc. 保留所有权利。 Powered by tikuer.com

页面耗时0.0877秒, 内存占用1.04 MB, Cache:redis,访问数据库18次