某一个三相异步电动机的额定功率PN= 15kW,额定电压UN=380V,额定转速nN=1450r/min,起动转矩Tst是额定转矩TN的2.2倍。电动机的...

作者: tihaiku 人气: - 评论: 0
问题 某一个三相异步电动机的额定功率PN= 15kW,额定电压UN=380V,额定转速nN=1450r/min,起动转矩Tst是额定转矩TN的2.2倍。电动机的起动转矩Tst等于()N?m。
选项 A. 98.8 B. 217.4 C. 217.4×103 D. 98.8×103
答案 B
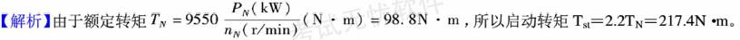
解析

相关内容:异步电动机,功率,电压,转速,起动,转矩,2.2倍,电动机

猜你喜欢

发表评论
更多 网友评论0 条评论)
暂无评论
错误啦!

错误信息

  • 消息: [程序异常] : MISCONF Redis is configured to save RDB snapshots, but it's currently unable to persist to disk. Commands that may modify the data set are disabled, because this instance is configured to report errors during writes if RDB snapshotting fails (stop-writes-on-bgsave-error option). Please check the Redis logs for details about the RDB error.
  • 文件: /twcms/kongphp/cache/cache_redis.class.php
  • 位置: 第 85 行
    <?php echo 'KongPHP, Road to Jane.'; ?>