如图7-5-14所示为共发射极单管电压放大电路,估算静态点的IB、IC、UCE分别为()。 A. 57μA; 2.8mA;3.5V B. 57μA; ...

作者: tihaiku 人气: - 评论: 0
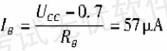
问题 如图7-5-14所示为共发射极单管电压放大电路,估算静态点的IB、IC、UCE分别为()。
选项 A. 57μA; 2.8mA;3.5V B. 57μA; 2.8mA;8V C. 57μA; 4mA;0V D. 30μA; 2.8mA;3.5V
答案 A
解析 静态分析:静态基极电流静态集电极电流IC=βIB=2.5mA,静态管压降UCε=UCC-ICRC=3.5V

相关内容:如图,7-5-14,单管,电压,电路,估算,静态

猜你喜欢

发表评论
更多 网友评论0 条评论)
暂无评论

Copyright © 2012-2014 恰考网 Inc. 保留所有权利。 Powered by tikuer.com

页面耗时0.0750秒, 内存占用1.05 MB, Cache:redis,访问数据库19次