假设年利率为6%,若想10年内每年末都能得到500元,则现在应存款( )元。A. 3680 B. 5000 C. 5639 D. 6590

作者: tihaiku 人气: - 评论: 0
问题 假设年利率为6%,若想10年内每年末都能得到500元,则现在应存款( )元。
选项 A. 3680 B. 5000 C. 5639 D. 6590
答案 A
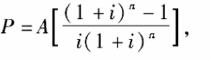
解析 年金向现值转化的计算公式为: 将题中数据代入计算可得:

相关内容:假设,年利率,年内,500元,存款

猜你喜欢

发表评论
更多 网友评论0 条评论)
暂无评论

Copyright © 2012-2014 恰考网 Inc. 保留所有权利。 Powered by tikuer.com

页面耗时0.0395秒, 内存占用1.04 MB, Cache:redis,访问数据库15次