正方形截面杆AB,力F作用在xoy平面内,与x轴夹角α。杆距离B端为a的横截面上最大正应力在α=45°时的值是α=0时值的( )。

作者: tihaiku 人气: - 评论: 0
问题 正方形截面杆AB,力F作用在xoy平面内,与x轴夹角α。杆距离B端为a的横截面上最大正应力在α=45°时的值是α=0时值的( )。
选项
答案 A
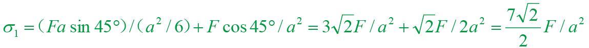
解析 分析当α=45°杆件受力,此时其受到轴向力Fcos45°与弯矩M=Flsin45° ,根据公式;当a=0 时,M=0,

相关内容:正方形,截面,平面,夹角,距离,端为,横截,面上,大正,应力

猜你喜欢

发表评论
更多 网友评论0 条评论)
暂无评论

Copyright © 2012-2014 恰考网 Inc. 保留所有权利。 Powered by tikuer.com

页面耗时0.0391秒, 内存占用1.04 MB, Cache:redis,访问数据库19次