真空中有3个带电质点,其电荷分别为q1、q2和q3,其中,电荷为q1和q3的质点位置固定,电荷为q2的质点可以自由移动,当3个质点的空间分布如图所示时,电...

作者: tihaiku 人气: - 评论: 0
问题 真空中有3个带电质点,其电荷分别为q1、q2和q3,其中,电荷为q1和q3的质点位置固定,电荷为q2的质点可以自由移动,当3个质点的空间分布如图所示时,电荷为q2的质点静止不动,此时如下关系成立的是( )。
选项 A.q1=q2==2q3 B.q1=q3=丨q2丨 C.q1=q2==-q3 D.q2=q3=-q1
答案 B
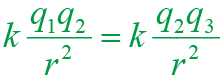
解析 真空中两个静止点电荷相互作用力为:。本题中,q2处于q1、q3连线的中点位置且静止不动,q2处于受力平衡状态,电荷平衡方程为:,所以q1、q3所带电荷的性质相同且电荷量相等,q1=q3= q2 。

相关内容:真空,质点,电荷,位置,移动,空间,如图

猜你喜欢

发表评论
更多 网友评论0 条评论)
暂无评论

Copyright © 2012-2014 恰考网 Inc. 保留所有权利。 Powered by tikuer.com

页面耗时0.0405秒, 内存占用1.05 MB, Cache:redis,访问数据库20次