图示变压器空载运行电路中,设变压器为理想器件,若则此时( )。

作者: tihaiku 人气: - 评论: 0
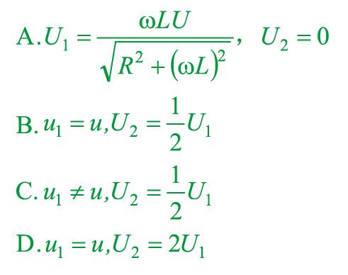
问题 图示变压器空载运行电路中,设变压器为理想器件,若则此时( )。
选项
答案 B
解析 变压器是最常用的电气设备之一,它通过电-磁-电的转换,将某一种电压的交流电能转换成频率相同的另一种电压的交流电,它不仅可以用来变换电压,而且可以变换电流和阻抗。设与电源相联接的原边绕组(又称初级绕组或一次绕组)的匝数为Np与负载相联接的副边绕组(又称次级绕组或二次绕组)的匝数为N1,匝数比K=N1/N2,变压器空载运行时,原、副边电压之比等于匝数比,一次电流与二次电流的比与匝数成反比,即:U1/U2=N1/N2=k, I1/I2=N2/N1=l/K。 理想变压器空载运行时,二次侧电流I2=0,I1=0,u1=u,变压器变比为

相关内容:变压器,运行,电路,理想,器件

猜你喜欢

发表评论
更多 网友评论0 条评论)
暂无评论

Copyright © 2012-2014 恰考网 Inc. 保留所有权利。 Powered by tikuer.com

页面耗时0.0607秒, 内存占用1.04 MB, Cache:redis,访问数据库14次