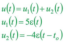
图示非周期信号u (t)如图所示,若利用单位阶跃函数u (t)将其写成时间函数表达式,则u (t)等于()。

作者: tihaiku 人气: - 评论: 0
问题 图示非周期信号u (t)如图所示,若利用单位阶跃函数u (t)将其写成时间函数表达式,则u (t)等于()。
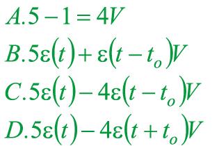
选项
答案 C
解析 图示的非周期信号利用可叠加性质,等效为两个阶跃信号: u (t)需满足在t0之前取5,t0之后取1,并且是以t为变量的函数,

相关内容:信号,如图,利用,单位阶,位阶,函数,时间,表达式

猜你喜欢

发表评论
更多 网友评论0 条评论)
暂无评论

Copyright © 2012-2014 恰考网 Inc. 保留所有权利。 Powered by tikuer.com

页面耗时0.0347秒, 内存占用1.05 MB, Cache:redis,访问数据库19次