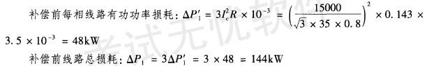
假定总降压变电所计算有功负荷为15000kW,补偿前后的功率因数分别为0.8 和0.9,该段线路补偿前后有功损耗为下列哪一项? ( )
(A)2...
相关内容:假定,变电所,有功,负荷,15000kW,补偿,线路,损耗
-
更换后变压器的综合功率损耗比更换前下降了( )A. 2.89%;
B.3.05%;
C. 5.36%;
D. 11.76%,
- 某车间有一台额定容量为8000kVA的电力变压器,其空载损耗为10. 9kW,短路损 耗为52.8kW,阻抗电压为7. 2%,变压器负载率为75%, 二次...
- 某车间有一台额定容量为8000kVA的电力变压器,其空载损耗为10. 9kW,短路损 耗为52.8kW,阻抗电压为7. 2%,变压器负载率为75%, 二次...
- 某厂有一台额定容量为5000kVA的电力变压器,其空载损耗为6. 75kW,短路损耗 为36.7kW,阻抗电压为7%,空载电流百分率为0.9%,变压器负载...
- 关于降低变压器的能耗以下观点和措施( )是正确的。A.选择空载损耗较小的低耗能变压器s
B.尽可能使变压器运行在满载状况;
C.随着变压器空载损耗降低...
- 关于变压器效率,以下说法( )是正确的。A.变压器效率与变压器负荷和损耗有关;
B.变压器效率与负荷功率因数无关;
C.当变压器负载系数为有功经济负载...
- 选择低耗能变压器,减少变压器的损耗是供配电系统节能的重要措施。对于S7、 Sll、S9、新S9、SJ、SH (非晶态合金变压器)等不同型号的变压器,在额定...
- 操作过电压一般由( )引起。A.线路切、合与重合闸;
B.故障与切除故障;
C.开断容性电流和开断较小或中等的感性电流;
D.负载突变。
- 有关接于公共连接点的每个用户引起该点正常电压不平衡度允许值的规定,以下叙 述( )是正确的。A.允许值一般为1.3%;
B.根据连接点的负荷状况可作适当...
- 小型银行的营业厅照明,应为()。
a. —级负荷;B 二级负荷;
c.三级负荷;
D. 一级负荷中特别重要负荷。