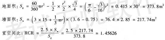
某教室平面为扇形面积减去三角形面积,扇形的圆心角为60°,布置见下图,圆弧形墙面的半径为30m,教室中均匀布置格栅荧光灯具,计算中忽略墙体面积。 若...

作者: tihaiku 人气: - 评论: 0
问题 某教室平面为扇形面积减去三角形面积,扇形的圆心角为60°,布置见下图,圆弧形墙面的半径为30m,教室中均匀布置格栅荧光灯具,计算中忽略墙体面积。 若该教室顶棚高度3. 6m,灯具嵌入顶棚安装,工作面高0. 75m,该教室室空间比为下列哪一项数值? ( ) (A)1.27 (B)1.34 (C)1.46 (D)1.54
选项
答案 C
解析 《照明设计手册》(第二版)P212式(5-44)。

相关内容:教室,扇形,面积,三角形,圆心角,下图,圆弧,半径,格栅,荧光,灯具,墙体

猜你喜欢

发表评论
更多 网友评论0 条评论)
暂无评论
错误啦!

错误信息

  • 消息: [程序异常] : MISCONF Redis is configured to save RDB snapshots, but it's currently unable to persist to disk. Commands that may modify the data set are disabled, because this instance is configured to report errors during writes if RDB snapshotting fails (stop-writes-on-bgsave-error option). Please check the Redis logs for details about the RDB error.
  • 文件: /twcms/kongphp/cache/cache_redis.class.php
  • 位置: 第 85 行
    <?php echo 'KongPHP, Road to Jane.'; ?>