某110kV变电站有110kV、35kV、10kV三个电压等级,设一台三相三卷变压器,系统图如下图所示,主变110kV中性点釆用直接接地,35kV、10k...

作者: tihaiku 人气: - 评论: 0
问题 某110kV变电站有110kV、35kV、10kV三个电压等级,设一台三相三卷变压器,系统图如下图所示,主变110kV中性点釆用直接接地,35kV、10kV中性点釆用消弧线圈接地。(10kV侧无电源,且不考虑电动机的反馈电流) 假定该变电站110kV、35kV母线系统阻抗标幺值分别为0.025和0.12,请问该变电站]0kV母线最大三相短路电流为下列哪一项?(Sj= 100MV·A,Uj110= 115kV, Uj35 =37kV,Uj10 = 10.5kV) ( ) (A)9.74kA (B)17.00kA (C)18.95k
选项 A (D)21. 12kA
答案 C
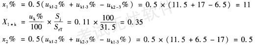
解析 《工业与民用配电设计手册》(第三版):P131式(4-11) ,P128表4-2。 三相三绕组电力变压器每个绕组的电抗百分值及其标幺值为:

相关内容:变电站,三个,电压,等级,三卷,变压器,系统,图如,下图,主变,中性,点釆,接地,10k...

猜你喜欢

发表评论
更多 网友评论0 条评论)
暂无评论

Copyright © 2012-2014 恰考网 Inc. 保留所有权利。 Powered by tikuer.com

页面耗时0.0399秒, 内存占用1.04 MB, Cache:redis,访问数据库13次