某工程项目设计中有一台同步电动机,额定功率Pn=1450kw,额定容量Sn=1.9MV?A,额定电压Un=6kV额定电流In=183A,启动电流倍数Kst...

作者: tihaiku 人气: - 评论: 0
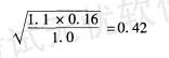
问题 某工程项目设计中有一台同步电动机,额定功率Pn=1450kw,额定容量Sn=1.9MV?A,额定电压Un=6kV额定电流In=183A,启动电流倍数Kst =5.9,额定转速n0500r/min,折算到电动机轴上的总飞轮转矩GD2=80kN?m2,电动机全压启动时的转矩相对值M*q=1.0,电动机启动时的平均转矩相对值M*pq=1.1,生产机械的电阻转矩相对值M*j=0.16,6kV母线短路容量Skm=46kV?A,6kV母线其他无功负载Qfh=2.95Mvar,要求分别计算及讨论有关该同步电动机的启动电压及启动时间,请回答下列问题。 为满足生产机械所要求的启动转矩,该同步电动机启动时定子端电压相对值最小应为下列哪一项数值? ( ) (A)0.42 (B)0.40 (C)0.38 (D)0.18
选项
答案 A
解析

相关内容:工程项目,设计,电动机,功率,1450kw,容量,电压,电流,倍数,Kst...

猜你喜欢

发表评论
更多 网友评论0 条评论)
暂无评论

Copyright © 2012-2014 恰考网 Inc. 保留所有权利。 Powered by tikuer.com

页面耗时0.0440秒, 内存占用1.05 MB, Cache:redis,访问数据库20次