某用户根据负荷发展需要,拟在厂区内新建一座变电站,用于厂区内10kV负荷供电,该变电所电源取自地区100kV电网(无限大电源容量),采用2回110kV架空...

作者: tihaiku 人气: - 评论: 0
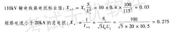
问题 某用户根据负荷发展需要,拟在厂区内新建一座变电站,用于厂区内10kV负荷供电,该变电所电源取自地区100kV电网(无限大电源容量),采用2回110kV架空专用线路供电,变电站基本情况如下: 1)主变采用两台三相自冷型油浸有载调压变压器,户外布置。变压器参数如下: 型号 SZ10-31500/110 电压比 110±8 x1.25%/10.5kV 短路阻抗 uk = 10. 5% 接线组别 YN,d11 中性点绝缘水平 60kV 2)每回110kV电源架空线路长度约10km,导线采用LGJ-240/25,单位电抗取0.4Ω/km。 3)10kV馈电线路均为电缆出线。 4)变电站110kV配电装置布置釆用常规设备户外型布置,10kV配电装置釆用中置式高压开关柜户内双列布置。 请回答下列问题。 假定该变电站主变容量改为2 x50MV?A,110kV配电装置采用桥形接线,10kV 采用单母线分段接线,且正常运行方式为分列运行,为将本站10kV母线最大三相短路 电流限制到20kA以下,可采用高阻抗变压器,满足要求的变压器最小短路阻抗为下列哪一项数值? ( ) (A)10.5% (B)11% (C)12% (D)13%
选项
答案 D
解析 《工业与民用配电设计手册》(第三版)P128表4-2(选择基准容量为100MV?A)。

相关内容:用户,根据,负荷,发展,需要,区内,一座,变电站,用于厂,供电,变电所,电源,地区,电网,无限大,容量,架空

猜你喜欢

发表评论
更多 网友评论0 条评论)
暂无评论

Copyright © 2012-2014 恰考网 Inc. 保留所有权利。 Powered by tikuer.com

页面耗时0.0561秒, 内存占用1.05 MB, Cache:redis,访问数据库20次