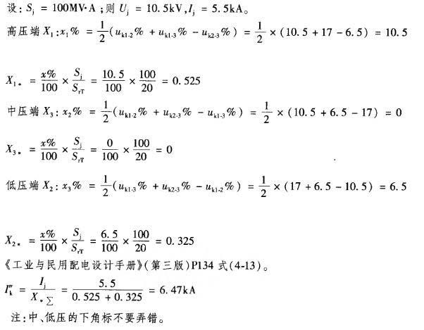
某变电所用于计算短路电流的接线示意图见下图,已知电源S为无穷大系统;变压器B的参数为Se=20000kV?A,110/38.5/10.5kV,uk1-2%...

作者: tihaiku 人气: - 评论: 0
问题 某变电所用于计算短路电流的接线示意图见下图,已知电源S为无穷大系统;变压器B的参数为Se=20000kV?A,110/38.5/10.5kV,uk1-2%=10.5,uk1-3%=17,uk2-3%=6.5;K1点短路时35kV母线不提供反馈电流,试求10kV母线的短路电流与下列哪个值最接近?() (A)16.92kA (B)6.47kV (C)4.68kV (D)1.18kA
选项
答案 B
解析 依据:《工业与民用配电设计手册》(第三版)P131式(4-11),P127~128表(4-1)和式(4-2)。

相关内容:变电所,短路,接线,示意图,下图,电源,变压器,参数,20000kV,10.5kV,uk1-2%...

猜你喜欢

发表评论
更多 网友评论0 条评论)
暂无评论

Copyright © 2012-2014 恰考网 Inc. 保留所有权利。 Powered by tikuer.com

页面耗时0.0475秒, 内存占用1.05 MB, Cache:redis,访问数据库20次