一台35/0.4V变压器,容量为1000kV?A,其高压侧用熔断器保护,可靠系数取2,其高压熔断器溶体的额定电流应选择下列哪一项?() (A)15A(B...

作者: tihaiku 人气: - 评论: 0
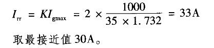
问题 一台35/0.4V变压器,容量为1000kV?A,其高压侧用熔断器保护,可靠系数取2,其高压熔断器溶体的额定电流应选择下列哪一项?() (A)15A(B)20A (C)30A(D)40A
选项
答案 C
解析 依据:《工业与民用配电设计手册》(第三版)P216式(5-28)。

相关内容:变压器,容量,1000kV,高压,侧用,熔断器,保护,系数,电流

猜你喜欢

发表评论
更多 网友评论0 条评论)
暂无评论

Copyright © 2012-2014 恰考网 Inc. 保留所有权利。 Powered by tikuer.com

页面耗时0.0407秒, 内存占用1.05 MB, Cache:redis,访问数据库20次