10kV中性点不接地系统,在开断空载高压感应电动机时产生的过电压一般不超过下列哪一项数值?() (A)12kV(B)14.4kV (C)24.5kV(...

作者: tihaiku 人气: - 评论: 0
问题 10kV中性点不接地系统,在开断空载高压感应电动机时产生的过电压一般不超过下列哪一项数值?() (A)12kV(B)14.4kV (C)24.5kV(D)17.3kV
选项
答案 C
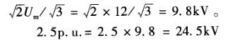
解析 依据:《交流电气装置的过电压保护和绝缘配合》(DL/T620-1997)第4.2.7条:开断空载电动机的过电压-般不超过2.5P.u.。第3.2.2-b)条:操作过电压的1.0p.u.= 注:查《标准电压》(GB/T156-2007)第4.3~4.5条,Um=12kV。

相关内容:中性,点不,接地,系统,高压,感应,电动机,过电压,数值,14.4kV,24.5kV

猜你喜欢

发表评论
更多 网友评论0 条评论)
暂无评论

Copyright © 2012-2014 恰考网 Inc. 保留所有权利。 Powered by tikuer.com

页面耗时0.0941秒, 内存占用1.03 MB, Cache:redis,访问数据库13次