某企业变电所,长20m、宽6m、高4m,欲利用其不远处(10m)的金属杆作防雷保护,该杆高20m,位置如下图所示,试计算该变电所能否被金属杆保护? () ...

作者: tihaiku 人气: - 评论: 0
问题 某企业变电所,长20m、宽6m、高4m,欲利用其不远处(10m)的金属杆作防雷保护,该杆高20m,位置如下图所示,试计算该变电所能否被金属杆保护? () (A)没有被安全保护 (B)能够被金属杆保护 (C)不知道该建筑物的防雷类别,无法计算 (D)不知道滚球半径,无法计算
选项
答案 A
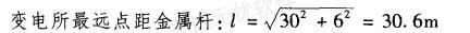
解析 依据:《交流电气装置的过电压保护和绝缘配合》(D17T620—1997)第5.2.1条,4=hx在4m高度的保护半径:rx=(1.5h-2hx)P=(1.5×20-2×4)×1=22m 显然无法完全保护。

相关内容:企业,变电所,利用,不远处,金属,杆作,防雷,保护,该杆,位置,下图

猜你喜欢

发表评论
更多 网友评论0 条评论)
暂无评论

Copyright © 2012-2014 恰考网 Inc. 保留所有权利。 Powered by tikuer.com

页面耗时0.0514秒, 内存占用1.05 MB, Cache:redis,访问数据库20次