某厂有一台额定容量为5000kVA的电力变压器,其空载损耗为6. 75kW,短路损耗 为36.7kW,阻抗电压为7%,空载电流百分率为0.9%,变压器负载...

作者: tihaiku 人气: - 评论: 0
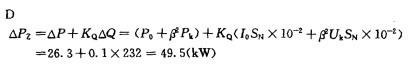
问题 某厂有一台额定容量为5000kVA的电力变压器,其空载损耗为6. 75kW,短路损耗 为36.7kW,阻抗电压为7%,空载电流百分率为0.9%,变压器负载率为73%。计箅其功 率损耗。 该变压器为由区域线路供电的35kV降压变压器,其无功经济当量在系统负载最大 时为O.lkW/kvar,在系统负载最小时为0. 06kW/kvar,在系统负载最大时该变压器综合有 功功率损耗为( )。
选项 A. 258.3kW; B 233kW, C. 70.2kW; D. 49.5kW。
答案 D
解析

相关内容:某厂,容量,5000kVA,电力,变压器,损耗,短路,36.7kW,阻抗,电压,电流,百分率,负载

猜你喜欢

发表评论
更多 网友评论0 条评论)
暂无评论

Copyright © 2012-2014 恰考网 Inc. 保留所有权利。 Powered by tikuer.com

页面耗时0.0534秒, 内存占用1.03 MB, Cache:redis,访问数据库19次