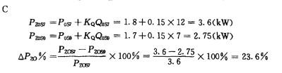
更换后变压器的空载综合功率损失比更换前下降了()。A. 20.4%; B21.6%; C. 23.6%; D. 25.8%。

作者: tihaiku 人气: - 评论: 0
问题 更换后变压器的空载综合功率损失比更换前下降了()。
选项 A. 20.4%; B21.6%; C. 23.6%; D. 25.8%。
答案 C
解析

相关内容:变压器,综合,功率,损失,B21.6%

猜你喜欢

发表评论
更多 网友评论0 条评论)
暂无评论

Copyright © 2012-2014 恰考网 Inc. 保留所有权利。 Powered by tikuer.com

页面耗时0.0537秒, 内存占用1.04 MB, Cache:redis,访问数据库19次