电动机的输出功率为( )。A. 19.86kW; B. 20.87kW; C. 28.72kW; D. 48.23kW。

作者: tihaiku 人气: - 评论: 0
问题 电动机的输出功率为( )。
选项 A. 19.86kW; B. 20.87kW; C. 28.72kW; D. 48.23kW。
答案 C
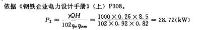
解析

相关内容:电动机,功率,19.86kW,20.87kW,28.72kW,48.23kW

猜你喜欢

发表评论
更多 网友评论0 条评论)
暂无评论

Copyright © 2012-2014 恰考网 Inc. 保留所有权利。 Powered by tikuer.com

页面耗时0.0420秒, 内存占用1.04 MB, Cache:redis,访问数据库17次