今有一台炼钢电弧炉,拟接入开发区变电站,系统参数如图4-2所示。

作者: tihaiku 人气: - 评论: 0
问题 今有一台炼钢电弧炉,拟接入开发区变电站,系统参数如图4-2所示。
选项
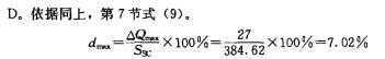
答案 D
解析

相关内容:炼钢,电弧,开发区,变电站,系统,参数,如图,4-2所示

猜你喜欢

发表评论
更多 网友评论0 条评论)
暂无评论

Copyright © 2012-2014 恰考网 Inc. 保留所有权利。 Powered by tikuer.com

页面耗时0.0448秒, 内存占用1.04 MB, Cache:redis,访问数据库20次