已知限流电抗器额定电压为6kV,额定电流为0.3kA,电抗百分值为4%,则电抗的有名值为()。

作者: tihaiku 人气: - 评论: 0
问题 已知限流电抗器额定电压为6kV,额定电流为0.3kA,电抗百分值为4%,则电抗的有名值为()。
选项
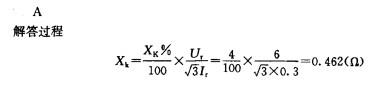
答案 A
解析
  • 上一篇:
  • 下一篇:

猜你喜欢

发表评论
更多 网友评论0 条评论)
暂无评论

Copyright © 2012-2014 恰考网 Inc. 保留所有权利。 Powered by tikuer.com

页面耗时0.0918秒, 内存占用1.03 MB, Cache:redis,访问数据库19次