已知地区电网短路容量为150MVA,求归箅到0.4kV侧的阻抗有名值为( )。

作者: tihaiku 人气: - 评论: 0
问题 已知地区电网短路容量为150MVA,求归箅到0.4kV侧的阻抗有名值为( )。
选项
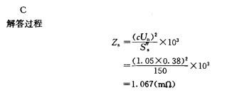
答案 C
解析

相关内容:地区,电网,短路,容量,150MVA,求归,阻抗

猜你喜欢

发表评论
更多 网友评论0 条评论)
暂无评论

Copyright © 2012-2014 恰考网 Inc. 保留所有权利。 Powered by tikuer.com

页面耗时0.0414秒, 内存占用1.03 MB, Cache:redis,访问数据库14次